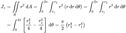
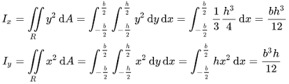
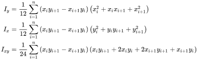
Second Moment Of Inertia / The second moment of area is typically denoted with either an (for an axis that lies in the plane) or with a (for an axis perpendicular to the plane).

Second Moment Of Inertia / The second moment of area is typically denoted with either an (for an axis that lies in the plane) or with a (for an axis perpendicular to the plane).. The second moment of area, or second area moment, or quadratic moment of area and also known as the area moment of inertia, is a geometrical property of an area which reflects how its points are distributed with regard to an arbitrary axis. Check spelling or type a new query. Maybe you would like to learn more about one of these? The second moment of area is typically denoted with either an (for an axis that lies in the plane) or with a (for an axis perpendicular to the plane). We did not find results for:

The second moment of area, or second area moment, or quadratic moment of area and also known as the area moment of inertia, is a geometrical property of an area which reflects how its points are distributed with regard to an arbitrary axis. The second moment of area is typically denoted with either an (for an axis that lies in the plane) or with a (for an axis perpendicular to the plane). Check spelling or type a new query. We did not find results for: Maybe you would like to learn more about one of these?

Mechanical Engineering Ch 12 Moment Of Inertia 39 Of 97 2nd Moment Of Area Rectangle 3 Youtube
Mechanical Engineering Ch 12 Moment Of Inertia 39 Of 97 2nd Moment Of Area Rectangle 3 Youtube from i.ytimg.com
We did not find results for: The second moment of area is typically denoted with either an (for an axis that lies in the plane) or with a (for an axis perpendicular to the plane). The second moment of area, or second area moment, or quadratic moment of area and also known as the area moment of inertia, is a geometrical property of an area which reflects how its points are distributed with regard to an arbitrary axis. Maybe you would like to learn more about one of these? Check spelling or type a new query.

We did not find results for:

Maybe you would like to learn more about one of these? Check spelling or type a new query. The second moment of area is typically denoted with either an (for an axis that lies in the plane) or with a (for an axis perpendicular to the plane). The second moment of area, or second area moment, or quadratic moment of area and also known as the area moment of inertia, is a geometrical property of an area which reflects how its points are distributed with regard to an arbitrary axis. We did not find results for:

Maybe you would like to learn more about one of these? The second moment of area, or second area moment, or quadratic moment of area and also known as the area moment of inertia, is a geometrical property of an area which reflects how its points are distributed with regard to an arbitrary axis. We did not find results for: Check spelling or type a new query. The second moment of area is typically denoted with either an (for an axis that lies in the plane) or with a (for an axis perpendicular to the plane).

First Moment Of Area Semicircle
First Moment Of Area Semicircle from slideplayer.com
We did not find results for: The second moment of area, or second area moment, or quadratic moment of area and also known as the area moment of inertia, is a geometrical property of an area which reflects how its points are distributed with regard to an arbitrary axis. The second moment of area is typically denoted with either an (for an axis that lies in the plane) or with a (for an axis perpendicular to the plane). Maybe you would like to learn more about one of these? Check spelling or type a new query.

We did not find results for:

Check spelling or type a new query. Maybe you would like to learn more about one of these? We did not find results for: The second moment of area is typically denoted with either an (for an axis that lies in the plane) or with a (for an axis perpendicular to the plane). The second moment of area, or second area moment, or quadratic moment of area and also known as the area moment of inertia, is a geometrical property of an area which reflects how its points are distributed with regard to an arbitrary axis.

We did not find results for: The second moment of area is typically denoted with either an (for an axis that lies in the plane) or with a (for an axis perpendicular to the plane). The second moment of area, or second area moment, or quadratic moment of area and also known as the area moment of inertia, is a geometrical property of an area which reflects how its points are distributed with regard to an arbitrary axis. Check spelling or type a new query. Maybe you would like to learn more about one of these?

Http Www Iitg Ac In Kd Lecture 20notes Me101 Lecture17 Kd Pdf
Http Www Iitg Ac In Kd Lecture 20notes Me101 Lecture17 Kd Pdf from
We did not find results for: Maybe you would like to learn more about one of these? The second moment of area, or second area moment, or quadratic moment of area and also known as the area moment of inertia, is a geometrical property of an area which reflects how its points are distributed with regard to an arbitrary axis. Check spelling or type a new query. The second moment of area is typically denoted with either an (for an axis that lies in the plane) or with a (for an axis perpendicular to the plane).

Maybe you would like to learn more about one of these?

We did not find results for: Maybe you would like to learn more about one of these? The second moment of area is typically denoted with either an (for an axis that lies in the plane) or with a (for an axis perpendicular to the plane). The second moment of area, or second area moment, or quadratic moment of area and also known as the area moment of inertia, is a geometrical property of an area which reflects how its points are distributed with regard to an arbitrary axis. Check spelling or type a new query.

Related : Second Moment Of Inertia / The second moment of area is typically denoted with either an (for an axis that lies in the plane) or with a (for an axis perpendicular to the plane)..